MVM Barabanki maharishi mahesh yogi Maharishi Vidya Mandir Logo
Total Knowledge for Everyone
ʺLet us mould your children′s future and prepare them for leadership in the worldʺ
Transfer Certificate Records
S.No. Roll/Adm No. Student Name Class Name Section Download Link
1 3778 ANSH SRIVASTAVA   II A
   |    
2 2970 OM RAJENDRA   VIII A
   |    
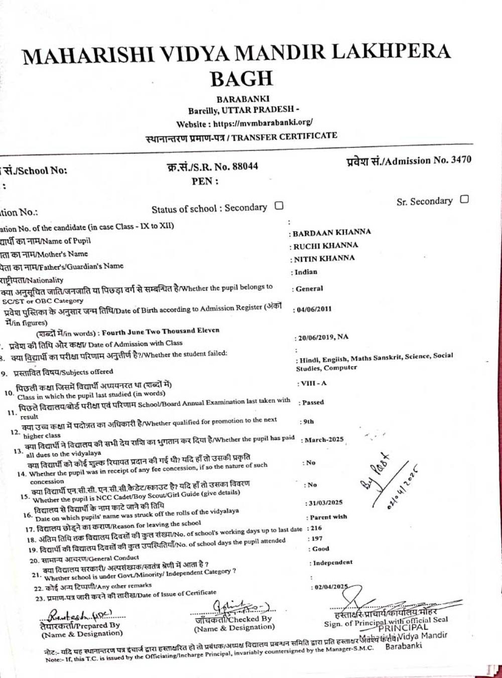
3 3470 BARDAAN KHANNA   VIII A
   |    
4 3385 ANUSHKA MAURYA   XII B
   |    
5 3820 AYUSH PATEL   XII A
   |    
6 2786 NAVEEN PAL   XII A
   |    
7 3540 PRATIBHA VERMA   XII A
   |    
8 3736 KRISHNA SHANKAR MISHRA   X A
   |    
9 3697 NAIMISH SHARMA   XII B
   |    
10 3520 PAVITRA RASTOGI   XII A
   |    
11 3436 TUSHAR GAUTAM   X A
   |    
12 3619 ADITYA SINGH   XII A
   |    
13 2926 VIKAS AWASTHI   XII B
   |    
14 3040 ARYAN VERMA   I A
   |    
15 3631 SAKSHAM MISHRA   X A
   |    
16 3556 ALOK KUMAR   XII A
   |    
17 3708 DEEPSHIKHA TRIPATHI   XII A
   |    
18 3653 SIDDHARTH SINGH   X A
   |    

Scope & Reach

2.6

ACRES LAND

255

STUDENTS

36

TOTAL STAFF

1992

ESTABLISHED IN YEAR

Contact Us

Maharishi Vidya Mandir
Maharishi Vidya Mandir
Lakhpera Bagh, Barabanki (225001) - Uttar Pradesh
: 05248 - 224148 / 9412550841
  : 9451584001
: 05248 - 224148
: mvmbarabanki@mssmail.org